Technische Analyse
Hoe Gebruik Je de Fibonacci Retracement in Trading?

In dit artikel gaan we uitleggen wat de Fibonacci retracement is, hoe het wordt berekend en het belang ervan bij het inschatten van marktaanpassingen aan een trendbeweging.
Wat is de Fibonacci Retracement?
De Fibonacci Retracement is een tool voor technische analyse gebruikt in de financiële markten om potentiële niveaus van ondersteuning en weerstand te ontdekken op basis van de wiskundige reeks ontdekt door Leonardo Fibonacci. Deze percentages worden toegepast op de omvang van een eerdere prijsbeweging om te voorspellen tot waar de prijs naar zou kunnen terugtrekken voordat deze verder gaat in de oorspronkelijke richting van de trend.
Als we het over markten hebben, of beter nog, als we het hebben over de grafische weergave van de gegevens van elk actief, op een grafiek, zien we dat alle activa bewegen altijd in een eeuwige choreografie van impulsen en correcties.
De impuls is een beweging bepaald in het voordeel van de huidige trend, laten we als voorbeeld nemen, dat een impuls een afstand van 100 heeft, als de volgende beweging na de impuls, in de tegenovergestelde richting is en met een afstand van minder dan 100, dan zeggen we dat de tweede beweging een correctie is en dat wanneer het eindigt we een nieuwe impuls zullen beginnen en dit is wat de Fibonacci retracements zo belangrijk maakt, omdat ze ons in staat stellen om zo vroeg mogelijk de markt te betreden in het voordeel van de trend.

Hier kunnen we de impulsen zien met zwarte pijlen en de correcties met rode pijlen.
In dezelfde grafiek kunnen we zien hoe de correcties altijd kleiner zijn dan de vorige impulsen, dat wil zeggen dat ze alleen een deel van de vorige impuls "corrigeren", bovendien kunt u zien dat, afhankelijk van de afstand van de impuls, de daaropvolgende correctie evenredig is met de afstand van de impuls die het corrigeert.
👉 Voor meer informatie over technische analyse: Technische Analyse: Basis, Theorieën, Figuren en Indicatoren
Wat zijn de beste Fibonacci-niveaus?
Dus, de FIBONACCI RETRACEMENT is de berekening door middel van wiskundige formules van wat de afstand van elke correctie van een impuls zou moeten zijn.
Echter, de meest voorkomende retracement niveaus zijn 23.6%, 38.2%, 50%, 61.8%, en 76.4% en we kunnen ook de 1/2 de 50% en de 88,2% toevoegen als het gebied van maximale correctie.
Wat is het gouden getal van Fibonacci?
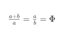
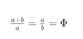
Het gulden getal, ook bekend als de gouden verhouding, gouden getal, of Fibonacci getal, is een irrationeel getal beroemd om zijn unieke esthetische en wiskundige eigenschappen. Het wordt vaak weergegeven met de Griekse letter phi (Φ) en heeft een benaderde waarde van 1.618033988749895.
Deze verhouding ontstaat door een lijn in twee segmenten te verdelen, zodanig dat de verhouding tussen het langste en het kortste deel gelijk is aan de verhouding tussen de totale lengte en het langste deel. Wiskundig gezien, als a de lengte is van het langste deel en b de lengte van het kortste deel, dan:

Het gouden getal is nauw verbonden met de Fibonacci-reeks, waarbij elk getal na de eerste twee de som is van de twee voorgaande (0, 1, 1, 2, 3, 5, 8, 13, ...). Naarmate de reeks vordert, benadert de verhouding tussen opeenvolgende getallen steeds meer het gouden getal, Φ
Hoe teken je Fibonacci retracements? - Ondersteuningen en weerstanden
Om een Fibonacci retracement te tekenen, moeten we de Fibonacci retracement tool gebruiken. Om de verwachte correctie eindzones te berekenen, trekken we een lijn in de impuls om te corrigeren.
In het geval dat we een Fibonacci retracement van een bearish impuls zoeken, plaatsen we het eerste punt van de Fibonacci retracement tool op het begin van de impuls (boven), en het tweede punt, aan het einde van de impuls (onder). En automatisch worden de verschillende correctiepercentage niveaus getekend.

En omgekeerd, in het geval dat we op zoek zijn naar een Fibonacci retracement van een bullish impuls, wat we zullen doen is de Fibonacci retracement tool nemen en de eerste punt in het laagste gebied van de impuls plaatsen, en het tweede punt in het hoogste deel van de impuls. automatisch worden de verschillende correctiepercentage niveaus getekend.

Hoe gebruik je Fibonacci retracements in trading? | Voorbeeld met dalende en stijgende trend
Het concept is duidelijk, het belangrijkste is om te weten hoe het toe te passen in de handel. We zullen ze gebruiken voor het berekenen van de mogelijke correctie eindzones, om een patroon in de zone te zoeken en vroeg op de nieuwe impuls te stijgen, ze werken hetzelfde in opwaartse als neerwaartse trends.
Dus, het is erg belangrijk om te weten dat wanneer we het over handel hebben, we rekening moeten houden met dat de markt levend is, dat er soms kracht is in de markten en soms is er helemaal geen kracht, wanneer we een zone markeren om, het mogelijke einde van de correctie te zoeken en weer in de impuls te stappen, we moeten “zones” markeren geen specifieke punten of niveaus. Deze zones of stroken zijn zones van steun of weerstand waar de markt zal stuiteren om een nieuwe impuls te starten.
Laten we niet vergeten dat we een reeks hebben die loopt van 23,6% tot 76,4%, dus hoe zullen we weten welke retracement op elk moment toe te passen?.
Afhankelijk van de fase van de structuur zullen we de ene of de andere gebruiken:
- Als de markt net is gedraaid, en we zijn in de eerste fase van een trend, de eerste correcties zullen gaan naar de zone van 61,8% tot 76,4%.
- Als daarentegen de structuur al zeer volwassen is (het is al erg lang) dan zullen de correcties zich bewegen tussen de zone van 23,6%-38,2% afhankelijk van welk actief we aan het verhandelen zijn,
- Als het Forex of commodities is tot 50%, in het geval van variabele inkomsten.
Eerste correcties
Deze keer, omdat het het begin van een grote structuur is, zijn de eerste correcties, we kunnen zien dat ze naar het gebied van 61,8% tot 76,2% gaan en naarmate de structuur vordert, is het correctiegebied kleiner omdat de marktkracht toeneemt.

Rijpe structuur
Hier kunnen we perfect zien dat naarmate de structuur vordert of "rijpt", de correcties kleiner zijn, we gaan van de strook aan het begin van de structuur van 61,8% tot 76,4% naar een nieuwe kleinere strook tussen de 38,2% en 50% in Variabele inkomsten
Let op hoe in dit andere geval, met een duidelijke dalende trend en al met een zeer geavanceerde structuur, de correctie kleiner is, precies in het gebied van 38,2% tot 50%.

Volledig voorbeeld
Bekijk in deze grafiek hoe we een serie impulsen en correcties in beide richtingen kunnen zien:
- Terwijl we ons in de beginfase van elke trend bevinden, komen de correcties tot het gebied 61,8% tot 76,4%
- Maar wanneer de structuur vordert en “rijpt” is het te verwachten correctiegebied in het gebied van 38,2% tot 50%

Alles bij elkaar genomen, zijn de gebieden van 61,8% tot 76,4% voor de eerste correcties na een marktkeer en de gebieden tussen de 38,2 procent en 50 procent voor wanneer de structuur al “rijp” of gevorderd is.
Wat zijn de projecties van Fibonacci?
Net zoals we praten over FIBONACCI RETRACEMENTS, zouden we ook kunnen praten over PROJECTIES of FIBONACCI EXTENSIES, om het verwachte gebied te kunnen bepalen waar een impuls kan eindigen.
Net als bij de Fibonacci-retracement kunnen we de meest waarschijnlijke eindzones van een correctie vinden met de Fibonacci-projecties of -extensies we kunnen de meest waarschijnlijke eindzone van een impuls bepalen.

En natuurlijk kunnen we beide metingen gebruiken:
- Aan de ene kant, berekenen we met de Fibonacci-retracement, de verwachte correctiezone
- En tegelijkertijd berekenen we de interne structuur van de correctie met de Fibonacci-projectie, we slagen er bijna perfect in om de verwachte draaizone aan het einde van de correctie te beperken.

Hoe gebruik je Fibonacci-retracements met Elliott Waves?
We gebruiken Fibonacci-projecties voornamelijk om de verwachte gebieden te bepalen waar impulsen eindigen, als we rekening houden met het feit dat impulsbewegingen, correctie, structuren vormen.
En een van de genieën die deze bewegingen het meest bestudeerde was precies degene die bepaalde hoe de Fibonacci-reeks toe te passen op de financiële markten.
Op deze manier, heeft Ralph Nelson Elliot in 1930 zijn Principe over de golven, of beter bekend als de Theorie van de Elliott-golven, uitgewerkt en hij was degene die tot op heden de meest complete studies heeft uitgevoerd over de bewegingen van de markten.
Dus, de ideale Elliot-golf van elke markt (let op: ik herhaal "Ideale Golf" maar die helpt om de toepassing van de Fibonacci-percentages te begrijpen) zou de volgende zijn.

Hier kunnen we alle relaties van de Fibonacci-retracements en -projecties binnen een "ideale Elliott-golf" zien.
Desalniettemin vertellen we je in het volgende artikel hoe je Elliott-golven en Fibonacci kunt gebruiken om te handelen.
👉 Voor meer informatie: Elliott Wave Theorie
Andere strategieën met Fibonacci:
En aangezien ik er zeker van ben dat je veel meer interessegebieden van Fibonacci hebt gehoord, laat ik je achter met de volgende artikelen, zodat je een completer beeld krijgt:
- Fibonacci-bogen: Fibonacci-bogen zijn technische analyse-instrumenten die worden gebruikt om mogelijke steun- en weerstandszones op een prijsgrafiek te bepalen. Ze worden getekend door een boog te trekken die de Fibonacci-retracementniveaus —23.6%, 38.2%, 50%, 61.8%, en soms 76.4%— kruist vanaf een extreem punt (hoog of laag) in de prijs.
- Fibonacci-fans: Fibonacci-fans zijn diagonale trendlijnen die worden gebruikt om potentiële steun- en weerstandszones te identificeren. Ze worden getrokken vanaf een significant hoog of laag punt in de prijs naar het volgende extreme punt, en worden verdeeld door diagonale lijnen die de Fibonacci-retracements snijden naarmate de prijs evolueert.
- Fibonacci-tijdzones: Fibonacci-tijdzones zijn een reeks verticale lijnen die worden gebruikt in technische analyse om momenten te voorspellen waarop er significante veranderingen in de prijs van een activum kunnen optreden. Ze worden ingesteld door tijdsintervallen te berekenen die de Fibonacci-reeks volgen vanaf een significant startpunt op de prijsgrafiek.
Uiteindelijk hoop ik met deze gids over hoe Fibonacci-retracement te gebruiken, te hebben kunnen helpen bij het voorspellen van rebounds (en hun bereik) binnen marktstructuren